
Kim H, et al. Inadequacy of current pediatric epinephrine autoinjector needle length for use in infants and toddlers. Ann Allergy Asthma Immunol 2017; 118:719-25.e1.
エピペンの針の長さは乳幼児に対しても適切か?
■ アドレナリン自己注射液(エピペン)は、アナフィラキシー時の第1選択の薬で、投与の遅れはリスクに直結します。
■ 海外では体重10kg以上で処方されることもあるものの、本邦では体重15kg以上の薬剤となっています。一方で2016 年 8 月改訂のエピペンのインタビューフォームでは、
【原則禁忌(次の患者には投与しないことを原則とするが、ショック等生命の危機に直面しており、緊急時に用いる場合にはこの限りではない)】
に、
0.01mg/kg を超える用量、すなわち、体重 15kg 未満の患者に本剤 0.15mg 製剤、体重 30kg未満の患者に本剤 0.3mg 製剤を投与すると、過量となるおそれがあるので、副作用の発現等に十分な注意が必要であり、本剤以外のアドレナリン製剤の使用についても考慮する必要があるが、0.01mg/kg を超える用量を投与することの必要性については、救命を最優先し、患者ごとの症状を観察した上で慎重に判断すること。
と、記載されています。
エピペンインタビューフォーム
http://image.packageinsert.jp/pdf.php?mode=1&yjcode=2451402G2020
■ 現実的には、極微量のアレルゲン混入で重篤なアナフィラキシーを起こす患者さんもいらっしゃいます。その場合は上記の条件に合致するため、処方する場面がでてきます。
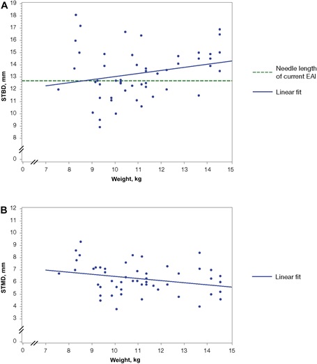
E: 骨と皮膚の距離(STBD)と筋肉と皮膚の距離(STMD)
C:
O: 体重7.5-15kg未満の児におけるアドレナリン自動注入装置(EAI=エピペン0.15mg)の針の長さは適切か
結局、何を知りたい?
✅エピペン0.15mgの針の長さが体重15kg未満の児に適合するかどうかを知ろうとしている。
超音波検査で皮膚から筋肉・骨までの距離を検討し、エピペンの針の長さ12.7mmと比較。
■ アドレナリン自動注入装置(EAI=エピペン0.15mg)の圧迫痕に類似するように改良された超音波プローブを用いて、ベースラインと圧迫(10ポンドの圧力)による前外側大腿に対し超音波検査を実施した。
■ 超音波像は、臨床データをマスキングし、短軸アプローチでSTBDとSTMDを評価し、51例においてSTBD測定に十分な短軸像を得た。
■ ベースラインのSTBDは、平均22.4±3.8mmであり、STMDは平均7.9±1.7mmであった。
■ 10ポンド(=約4.5kg)の加圧条件では、STBDの平均は13.3±2.1mmであり、STMDの平均は6.3±1.2mmであった。
■ 10ポンドの加圧条件では12.7mmの針長であるEAIは、43.1%の乳児/幼児で骨に到達する可能性があった。
結局、何がわかった?
✅エピペン0.15mgを15kg未満の小児に、エピペンを強く押し付けて使用した場合、43.1%の児で骨に達する可能性がある。
体重が少ない患者さんへのエピペンの処方は慎重であるべきかもしれない。
■ アドレナリン注射液はアナフィラキシー治療の標準治療であり、筋注での使用が最も効果的です。しかし、不用意な骨内注射は有害である可能性があります。
■ 現在のエピペン0.15mgの針長は12.7mmですが、体重15kg未満の乳児・幼児に対する理想的な針長に関しては、十分な検討がありませんでした。
■ しかし、特に乳児に対して、EAIの針が長すぎると、骨に当たった場合に骨内投与となる可能性が懸念されます。大人であっても、指への意図しないEAI投与例があり、骨を介した投与になった報告があります(本邦でも最近報告があります)。
■ 骨内へのアドレナリン注射は、静脈内投与に似た全身吸収率につながり、成人では不慮の静脈内投与は、心血管合併症の高いリスクと関連していると述べられています。
■ 小児における心血管リスクに関してはデータが不足しているものの、EAIの針長はアナフィラキシーのリスクのある幼児において重要な臨床問題です。
■ 私は、上記のように、リスクが高い児に関し、体重が15kgに近ければ処方をすることがあります(添付文書内の考え方ではあります)。骨に届いた場合にすぐ大きなリスクになるとは限りませんが、今後は少し考えかたを変えねばならないかもしれないと思いました。
■ また、この研究結果は、乳幼児に関する筋肉注射の針の長さを参考にできるデータと思います。
今日のまとめ!
✅エピペン0.15mgを体重15kg未満の児に使用した場合、針が骨まで達する可能性があり、体重が少なくなるほどそのリスクは上昇する。針が到達することがそのまま全員のリスクに繋がるわけではないが、処方にはアナフィラキシーのリスクとバランスを考える必要がある。












