

Nicolucci AC, et al. Prebiotic Reduces Body Fat and Alters Intestinal Microbiota in Children With Overweight or Obesity. Gastroenterology 2017.[Epub ahead of print]
電車の中吊り広告でみた乳酸菌の宣伝。
■ また日曜の更新です。
■ この間、通勤中の電車の中吊り広告で、乳酸菌で体脂肪が減るといった内容の広告がありました。
■ この手の広告は、研究手法がかなり怪しいことが多く(例数が少ない、プラセボがない、研究手法の事前の公開がないなど)、あまり信用していないのですが、最近、肥満に対してプレバイオティクスを使用したランダム化比較試験を見つけました(プレバイオティクスは乳酸菌[プロバイオティクス]そのものではなく、プロバイオティクスの餌になる成分です)。
■ すこし興味を持ったので読んでみました。なお、この論文は、全文がフリーで閲覧可能です。
E: オリゴフルクトース強化イヌリン 8g/日 22人×1日1回16週間 (OI群)
C: 麦芽デキストリン・プラセボ 等カロリー/日 20人×1日1回16週間 (コントロール群)
O: 16週後のベースラインからの体脂肪率の変化
結局、何を知りたい?
✅プレバイオティクス(オリゴフルクトース)は、肥満に効果があるかどうかを知ろうとしている。
プレバイオティクスはダイエットに効果があった?
■ 参加者は、7 - 12歳の過体重または肥満(BMI 85%tile以上と定義)があり、それ以外は健常な児だった。
■ 体脂肪量と減量した重量は、二重エネルギー-X線吸光光度定量法を使用して測定され、身長、体重、腹囲は、ベースラインと4週ごとに測定された。
■ 血液サンプルはベースラインと16週に採取され、脂質、サイトカイン、リポ多糖体、インシュリンが分析された。
■ 糞便検体も、ベースラインと16週に採取、胆汁酸は高性能液体クロマトグラフィを使用して測定され、微生物叢は16SリボソームRNA塩基配列決定法と定量的PCRによって分析された。
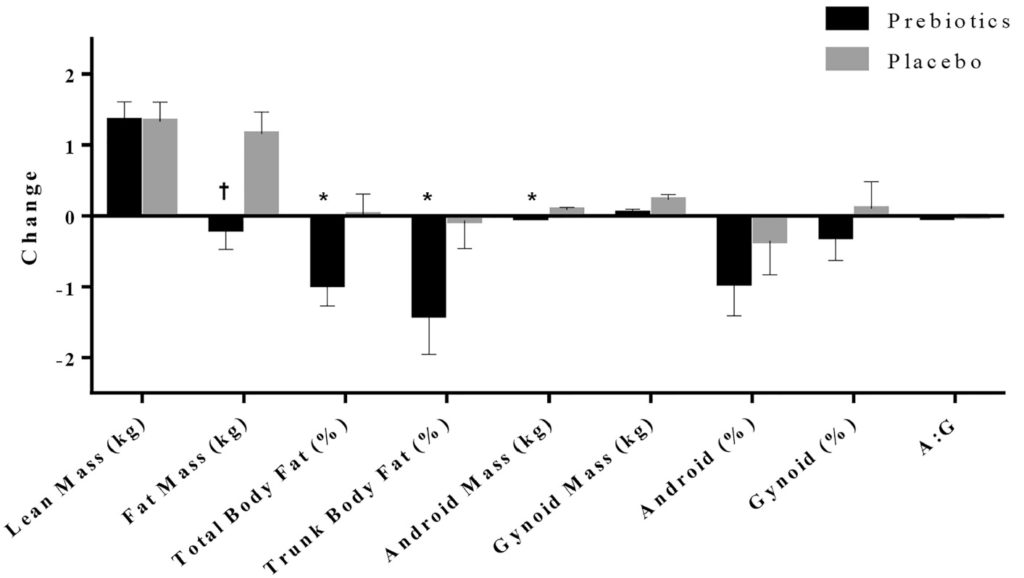
■ 16週間後、OI群は体重z-スコア(3.1%減少)、体脂肪率(2.4%減少)と体幹脂肪率(3.8%減少)がプラセボ群(それぞれ、0.5%増加、0.05%増加、0.3%減少)に比較して有意に減少した。
論文から引用。プレバイオティクス群はプラセボ群に比較して体重・体脂肪率・体幹脂肪率が低下している。
■ また、ベースラインと比較してインターロイキン6(IL-6)レベルがOI群は15%減少し、プラセボ群(25%増加)に比較して有意に減少した。
■ さらに、OI群は血清トリグリセリドが19%減少し、有意だった。
■ PCR定量により、OI群ではコントロールと比較してビフィドバクテリウム属spp.は有意に増加したことが示された。
■ 16SリボソームRNA塩基配列検査により、OI群では、ビフィドバクテリウム属の増加とバクテロイデスブルガタス属の減少が有意であることが示された。
■ 糞便検体では、16週間の研究期間中、主な胆汁酸レベルはOI群ででなくプラセボ群で増加したことが示された。
結局、何がわかった?
✅プレバイオティクスは、16週間で体重(3.1%減少)、体脂肪率(2.4%減少)、体幹脂肪率(3.8%減少)低下させた。
プレバイオティクスは肥満に効果がある可能性がある。
■ プレバイオティクスは選択的に腸の微生物叢を変化させ、過体重または肥満児の体重z-スコア、体脂肪率、体幹脂肪率などを低下させるとされています。この結果から、腸の微生物叢に働きかけることは肥満の防止や治療に効果があるかもしれないと結論されていました。
■ プレバイオティクスとプロバイオティクスは少し違いますが、乳酸菌の中吊り広告も、あながち誇大広告ではないのかなと思いました。
今日のまとめ!
✅プレバイオティクスは肥満・過体重に効果がある可能性がある。











