
Kim H, et al. Effect of bathing on atopic dermatitis during the summer season. Asia Pacific Allergy 2012; 2:269.
入浴がアトピー性皮膚炎治療に有用かどうかは未だ論争中です。
■ アトピー性皮膚炎の治療に対する入浴回数に関しての指導は、医療者も差がでるという報告を、以前ご紹介いたしました。
■ そして、アトピー性皮膚炎の治療に対する入浴回数に関するレビューを、以前ご紹介いたしました。
■ 今回、エビデンスレベルは低いながら、入浴頻度に関する研究結果を見つけましたのでご紹介いたします。
E: 1日1回弱酸性洗剤で洗浄し保湿剤を塗布 14日間 アドヒアランス良好
C: 1日1回弱酸性洗剤で洗浄し保湿剤を塗布 14日間 アドヒアランス不良(2日以上入浴なし)
O: SCORADの変化
結局、何を知りたい?
✅入浴回数が、アトピー性皮膚炎治療に効果があるかどうかを確認しようとしている。
夏季の1日複数回入浴と保湿塗布を指示し、アドヒアランスによって二群にわけて比較。
■ リクルートは夏季中に行われた。
■ 小児科医と訓練された看護婦から、両親は、弱酸性洗浄剤(PhysiogelR; Stiefel, Offenbach, Germany)で1日1回熱くないお湯で10-15分入浴するように指示された。
■ せっけんが残留しないよう、ほこりを擦らないように、完全に洗浄剤を洗い流すように教育された。
■ 入浴した後、タオルで押し拭きして3分以内にタオルドライし、保湿剤を塗布した(Physiogel lotionR, Stiefel, Offenbach, Germany)。
■ 両親は1日につき2-3回、保湿剤を塗布し、刺激物を回避するするように指示され、ステロイド外用薬は研究期間中は許可されなかった。
■ 毎日の症状日記が記録されなかった、もしくは1日に1回以下しな保湿剤を塗布しなかった15例を除き、81例(男児48人、女児33人)は、本研究を完了した。
■ A群は60人(男児34人、女児26人; 平均年齢3.9±3.2歳)、B群は21人(男児14人、女児7人;平均年齢6.1±3.6年)から成った。
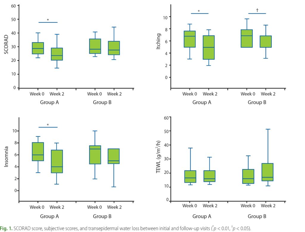
■ 初診時、性、SCORAD、そう痒、睡眠障害、TEWLになかったが、B群は、A群より年齢が高かった(p = 0.008)。
研究開始時の両群。年齢のみ有意差がある。
■ 継続管理期間、保湿剤の使用本数はA群 2.3±1.0本とB群2.1±0.4本であり、有意差はなかった(p = 0.079)。
■ 入浴する1日あたりの平均回数は、A群1.2±0.3回とB群0.8±0.1回(p < 0.001)あった。
■ アドヒアランス良好群は、SCORAD、そう痒、睡眠障害が有意に改善した(すべてp < 0.001)。
論文から引用。入浴回数が多いA群のほうが優位にSCORAD・掻痒・睡眠障害ともに改善している。
■ 研究開始時からのSCORADの変化の平均は、コンプライアンス良好群においてより大きかった(p = 0.038)。
結局、何がわかった?
✅夏季中の入浴回数が多い群のほうが、SCORAD、そう痒、睡眠障害が有意に改善した。
夏季中の入浴回数は、多いほうがアトピー性皮膚炎の改善に働いたが、観察研究なのでエビデンスレベルは低い。
■ あくまで、研究終了後にアドヒアランスで2群に分けたという方法なので、エビデンスレベルは低いです。
■ そして、入浴回数が少ない群は(有意差がないものの)保湿剤の使用本数が少なかったことが、アトピー性皮膚炎重症度に影響をした可能性があるとされています。
■ とはいえ、この研究結果では、弱酸性洗剤を使用した入浴と保湿剤の使用は、夏季のアトピー性皮膚炎患児の皮膚症状を改善する可能性があるとまとめられていました。
■ 洗浄に関しても、洗浄成分などにも配慮する必要性があるかもしれません。
■ また、海外の検討をそのまま本邦に適応することが出来るかどうかも、疑問点として残ります。まだこの分野のデータは不足している感が否めませんね。
今日のまとめ!
✅夏季の入浴回数は、多いほうがアトピー性皮膚炎のコントロールには良いかもしれないが、エビデンスレベルが低いため、ランダム化比較試験が必要である。















