
Yanagida N, et al. Skin prick test is more useful than specific IgE for diagnosis of buckwheat allergy: A retrospective cross-sectional study. Allergol Int 2018; 67:67-71.
そばアレルギーを血液検査結果から予測するのは難しい。
■ そば特異的IgE抗体価では摂取時の陽性を予測することが難しいことが、すでに相模原病院から報告されています。
■ 今回は、同グループより、そばに関してはプリックテストの方が有用という報告です。かなり臨床に重要な報告と言えましょう。
そば経口負荷試験を行い、特異的IgE抗体価と皮膚プリックテストのどちらが更かし決結果を予測するかを後ろ向きに検討した。
背景
■ そば(Buckwheat ; BW)は、潜在的に生命を脅かすアレルゲンである。
■ BWアレルギーの診断にはBW特異的IgE(BW-sIgE)の有用性が論議されているが、侵襲性の低く速やかに結果が得られる皮膚プリックテスト(skin prick test ; SPT)も広く利用されている。
■ しかし、SPTおよびBW-sIgE抗体価の有用性を比較するデータは報告されていない。
■ そこで本研究では、BWアレルギーの診断におけるSPTの有効性を明らかにすることを目的とした。
方法
■ 2006年7月から2014年4月までに、耐性診断または確認のためにBWタンパク質3072mgによる経口食物負荷試験(oral food challenge; OFC)を受けた患者におけるレトロスペクティブな横断研究を実施した。
■ さらに我々は、OFCの陽性結果を予測するために、BW sIgEとSPTの診断性能を比較した。
結果
■ 2〜16歳(中央値7.7歳)の126人を分析し、18人(14%)がOFC陽性だった。
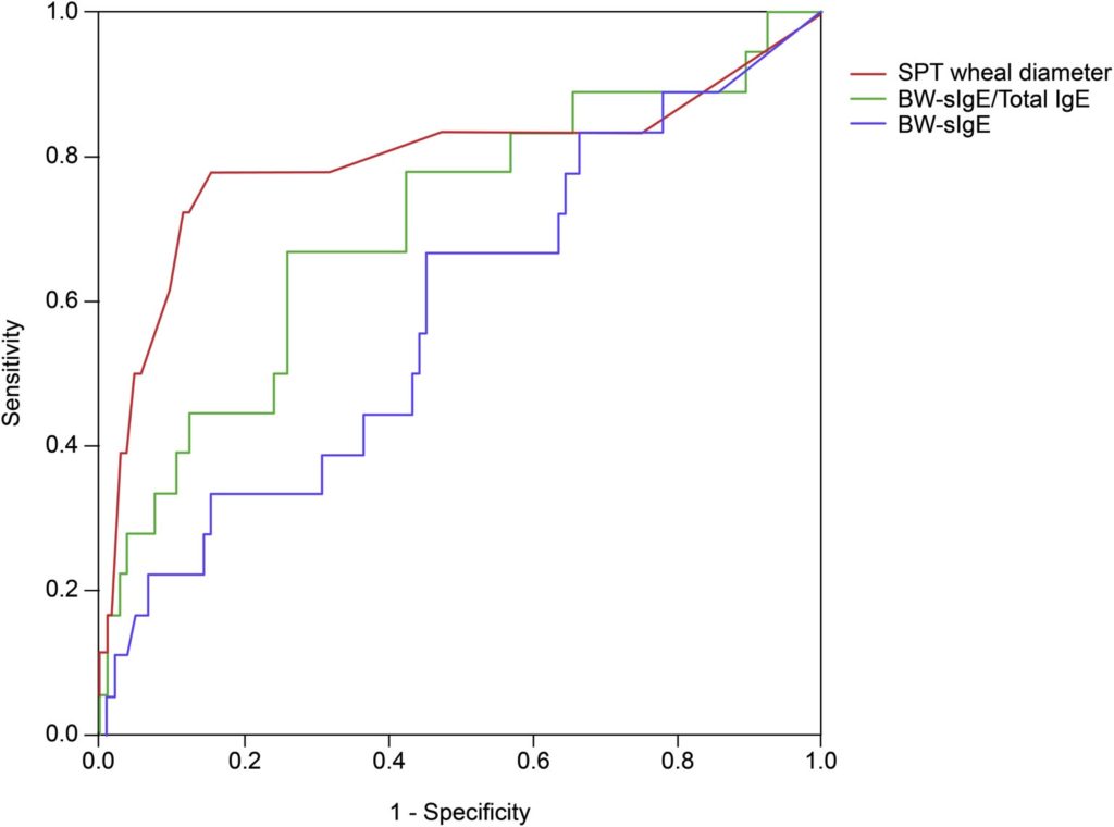
■ BW-sIgE抗体価は、OFC陽性と陰性患者間に有意差はなかったが、OFC陽性の児は、SPT径がより大きかった。
■ BW-sIgE抗体価およびSPT径に関し、OFC陽性におけるAUCは、それぞれ0.583および0.791だった。
■ 5%、10%、50%、90%の陽性予測値は、それぞれSPT径 2.0mm、5.2mm、14.7mm、24.1mmだった。
結論
■ BWアレルギー診断に対し、SPTがBW-sIgE抗体価よりも有用であることが明らかになった。
■ そして、患者のSPT径が少なくとも24.1mmであれば、OFCを回避してよいと考えられる。
結局、何がわかった?
✅そば負荷試験結果の予測は、特異的IgE抗体価より皮膚プリックテストの方が有用だった(AUCが、それぞれ0.583および0.791)。
✅ 皮膚プリックテストの膨疹径による5%、10%、50%、90%の陽性予測値は、それぞれ2.0mm、5.2mm、14.7mm、24.1mmだった。
そばアレルギーに対して、臨床上とても有用な報告でしょう。
■ そば特異的IgE抗体価は、臨床上あまり有用性がないことがわかり、負荷試験しか方法がないかなと思っていた所の報告。
■ 臨床上、とても有用と思われます。
今日のまとめ!
✅そば負荷試験の陽性予測として、皮膚プリックテストは特異的IgE抗体価より有用で、膨疹経24mmを超えると、負荷試験を避けてもよいかもしれない。














