
気道収縮という喘息発作それ自体が、気道のリモデリングを進行させるという報告。
■ 「リモデリング」という用語は、喘息の中では有名な概念です。
■ 例えば、アトピー性皮膚炎がひどくなり繰り返されると皮膚が硬く厚くなってしまうことがあります。医学的には「苔癬化(たいせんか)」といいますが、この現象が気管支でも起きていると考えればわかりやすいでしょうか。
■ 皮膚の炎症であるアトピー性皮膚炎と同様、気管支の炎症がつづくことで起こる現象といえますが、「気管支の収縮」自体もリモデリングを起こしうるという報告があります。
Grainge CL, et al. Effect of bronchoconstriction on airway remodeling in asthma. N Engl J Med 2011; 364:2006-15.
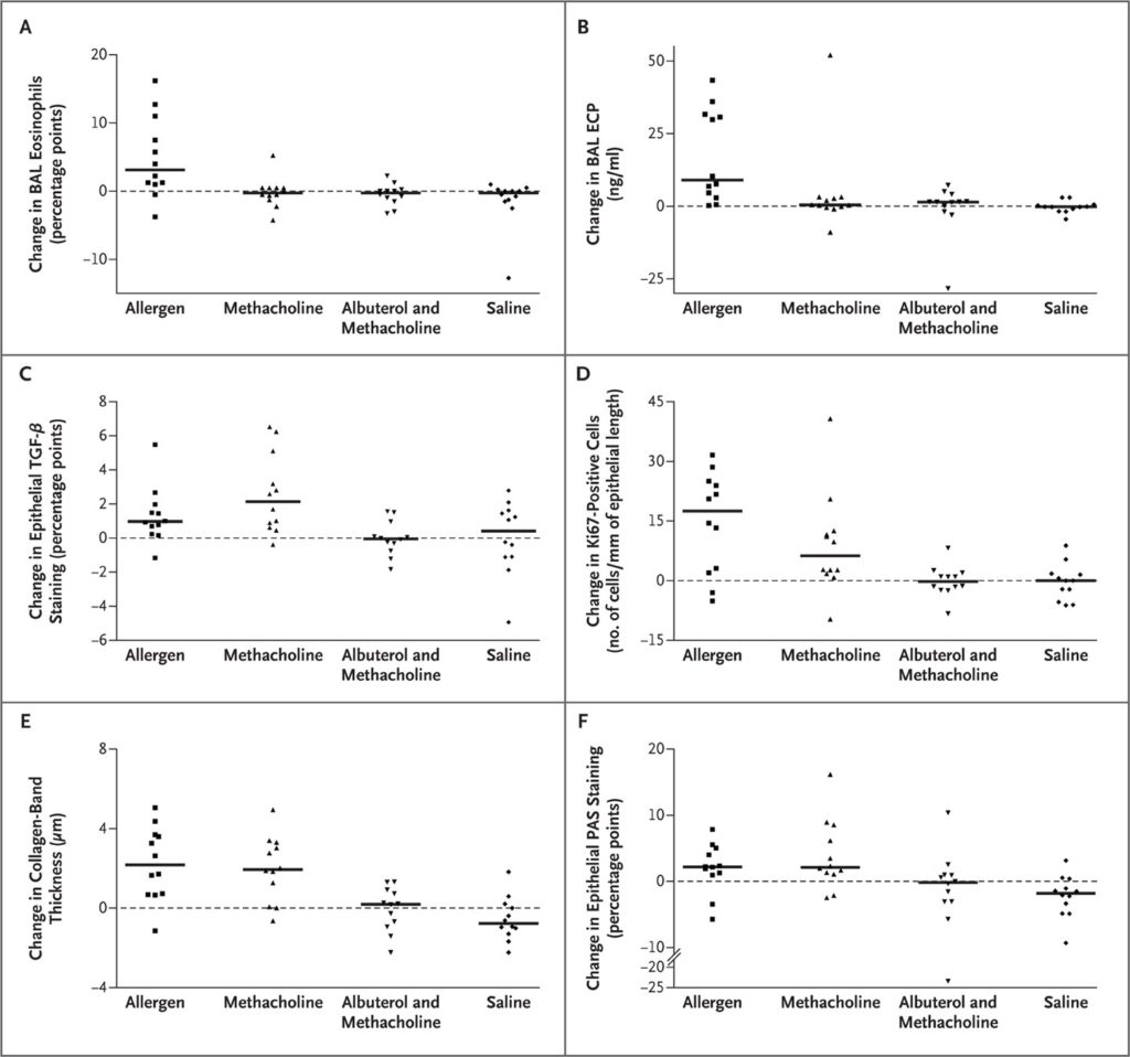
気管支喘息患者48人を、①ダニアレルゲン吸入負荷、②メサコリン吸入負荷、③生理食塩水負荷、④気管支拡張薬吸入+メサコリン吸入負荷の4群にわけ、3回負荷をおこなったのち気道生検を行ってリモデリングの現象がないかを確認した。
背景
■ 喘息は、気道リモデリングと呼ばれる気道の構造的変化によって病理学的に特徴付けられる。
■ これらの変化は、長期的な臨床的アウトカムの悪化と関連しており、好酸球性炎症に起因している。
■ しかし、in vitroの研究は、気管支収縮で生じる収縮する器械力が、炎症とは無関係にリモデリングを誘導し得ることを示している。
■ 我々は、喘息患者における気道の構造変化に対する実験的に誘導された気管支収縮の反復の影響を評価した。
方法
■ 喘息患者48人を、48時間間隔で投与する1種類の吸入剤を用いた3回シリーズの負荷を行うという、4種類の吸入負荷プロトコールのうちの1つに、それぞれランダムに割り当てた。
■ 2つのアクティブな負荷試験は、気管支収縮や好酸球性炎症を引き起こすダニアレルゲン負荷もしくは好酸球性炎症を伴わない気管支収縮を引き起こすメサコリン負荷のいずれかであった。
■ 2つの対照負荷(いずれも気管支収縮をおこさない)は、生理食塩水単独負荷もしくはアルブテロールの後のメタコリン負荷(メタコリンの気管支収縮作用以外をコントロールする)のいずれかだった。
■ 気管支生検標本は、負荷完了前と負荷終了後4日目に採取された。
結果
■ アレルゲンとメサコリンは直ちに同レベルの気管支収縮を誘発した。
論文より引用。アレルゲンとメサコリンは初期に同レベルの気管支収縮を誘発し、アレルゲン負荷は遅れて再度気管支の収縮を示している。
■ 気道の好酸球性炎症はダニアレルゲン群でのみ増加したが、ダニアレルゲンとメサコリン群の両方は、2種類の対照群で見られない有意な気道リモデリングを有していた。
■ 上皮内コラーゲンバンドの厚さは、ダニアレルゲン群で中央値2.17μm(四分位範囲[IQR] 0.70〜3.67)およびメサコリン群で1.94μm増加した(IQR 0.37〜3.24)(P <0.001; 2種類の負荷群と 2種類の対照群を比較)。
■ 上皮(粘液腺)の過ヨウ素酸シッフ(periodic acid-Schiff; PAS)染色も、アレルゲン群(IQR 1.03〜4.77)およびメタコリン群(IQR 1.14〜7.96)において中央値2.17%ポイント増加した(P =0.003; コントロールとの比較)。
論文より引用。アレルゲン負荷群、メサコリン負荷群ともにリモデリングの反映する上皮染色での厚が増加している。
■ アレルゲン群とメタコリン群に有意差はなかった。
結論
■ 炎症を伴わない気管支収縮は、喘息患者の気道リモデリングを誘発する。
■ これらの知見は、喘息管理にとって潜在的な意味を持つ。
結局、何がわかった?
48人の喘息患者に対し、
✅ 気道収縮を起こすアレルゲン吸入負荷もしくはメサコリン吸入負荷を行うと、同じように気道上皮におけるリモデリングの現象を起こした。
気道リモデリングは、アレルゲン炎症だけでなく、「気道収縮(=気管支喘息発作)そのものによっても起こりえる。

■ この研究結果は、気管支の炎症それ自体だけでなく、「気管支喘息発作(気道収縮)それ自体が、気道のリモデリングを起こしうる」ということを示しています。
■ アトピー性皮膚炎の苔癬化が治りにくいように、気道リモデリングも非常に治りにくいとされています。
■ そう考えると、気管支喘息の難治化は、「気管支喘息発作そのもの」が誘導しうるともいえるでしょう。
今日のまとめ!
✅喘息における気道のリモデリングは、発作そのもので誘導しうるかもしれない。












