以下、論文紹介と解説です。
Widge AT, et al; mRNA-1273 Study Group. Durability of Responses after SARS-CoV-2 mRNA-1273 Vaccination. N Engl J Med. 2020 Dec 3. doi: 10.1056/NEJMc2032195. Epub ahead of print. PMID: 33270381.
mRNAワクチン(mRNA-1273)を28日間2回接種し、119日後の免疫原性データを確認した。
背景
■ 最近、SARS-CoV-2感染予防のための messenger RNAワクチンであるmRNA-1273の第1フェーズ試験の結果を報告したが、その中間結果は初回接種から57日後のものだった。
方法
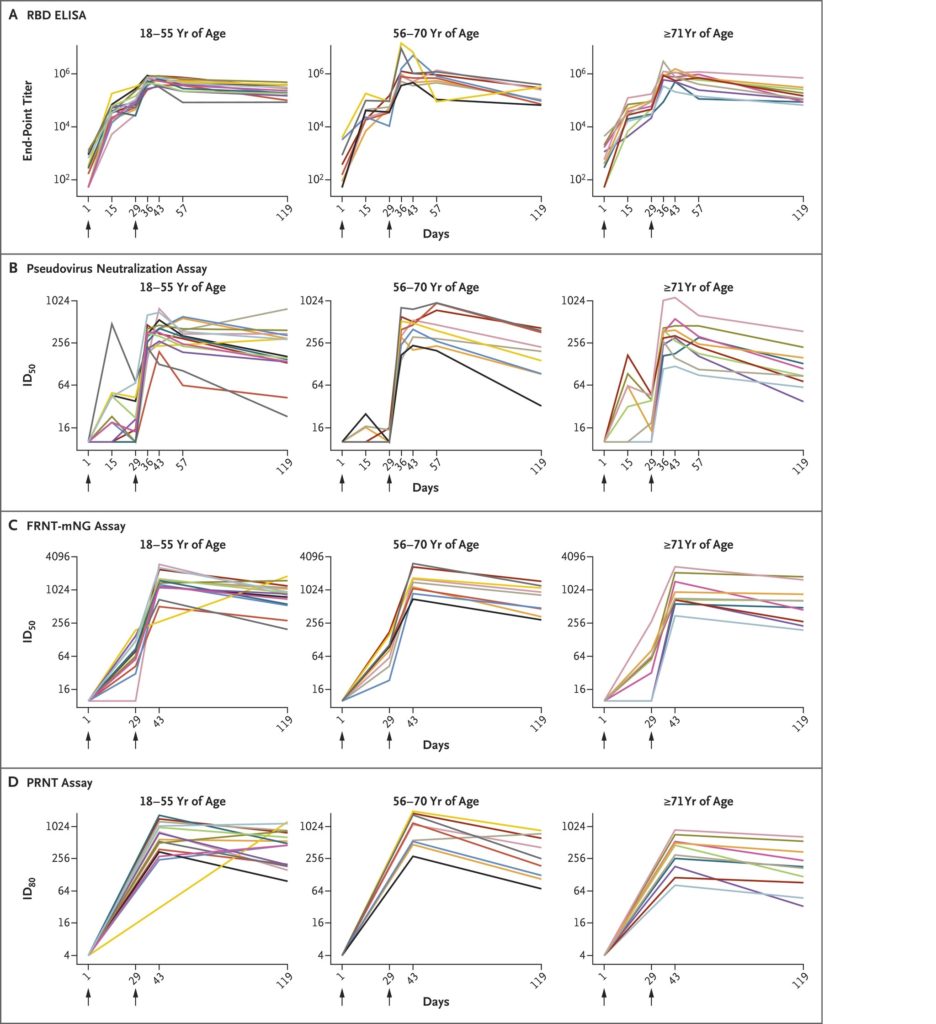
■ 本研究では、1回目のワクチン接種から119日後(2回目のワクチン接種から90日後)に、用量100μgで2回のワクチン接種を受けた健康成人34人の免疫原性データを示した。
■ 注射は28日間隔で受けた。
■ 被接種者は年齢(18~55歳、56~70歳、71歳以上)によって層別化された(使用された分析方法は先行研究で記載)。
結果
■ 用量100μg の投与により、mRNA-1273 は高いレベルで結合抗体と中和抗体を産生し、時間の経過とともにわずかに低下したものの、ブースターワクチン接種 3ヶ月もすべての参加者で抗体の上昇を維持した。
■ スパイク受容体結合ドメインへの結合抗体反応は、酵素結合免疫吸着法(ELISA)で評価した。
■ 119日目の時点での幾何平均力価(geometric mean titer; GMT)は、18~55歳で235,228(95%信頼区間[CI] 177,236~312,195)、56~70歳で151,761(95%CI 88,571~260,033)、71歳以上で157,946(95%CI 94,345~264,420)だった(図1)。
論文から引用。COVID-19スパイク受容体結合ドメインへの結合抗体反応の評価。
■ 血清中和抗体は 119 日目にも全参加者で検出されていた。
■ 疑似ウイルス中和分析によると、50%inhibitory dilution (ID50)のGMTは、18歳以上55歳未満の参加者で182(95%CI 112~296)、56歳以上70歳未満の参加者で167(95%CI 88~318)、71歳以上の参加者で109(95%CI 68~175)だった。
■ 生存ウイルス焦点低減中和試験( live-virus focus reduction neutralization test)であるmNeonGreen分析によると、ID50のGMTは、同じ3群でそれぞれ775(95%CI 560~1071)、685(95%CI 436~1077)、552(95%CI 321~947)だった。
■ 生存ブウイルスプラーク低減中和試験において、80%inhibitory dilutionのGMTは、同じ3群において、それぞれ430 (95% CI 277~667), 269 (95% CI 134~542), and 165 (95% CI 82~332)で、同様に上昇した(図1)。
■ 119 日時点で、診断からの日数の中央値はが34 日(範囲 23~54 日)であるCovid-19からの回復期にあった41人の対照群と比較し、結合抗体と中和抗体の GMT 値が中央値を上回った。
■ この試験では重篤な有害事象は認められず、事前に定められた試験中止規則も満たさなかった。
■ そして57日目以降にワクチンに関連していると考えられる新たな有害事象は発生しなかった。
結論
■ ヒトにおける SARS-CoV-2 感染に対する感染予防との相関関係はまだ確立されていないが、これらの結果は、結合抗体や中和抗体の力価のわずかな低下が予想されるものの、mRNA-1273 が持続的な体液性免疫を提供する可能性があることを示している。
■ mRNA-1273に対するメモリー細胞応答はまだ定義されていないが、このワクチンは初回のワクチン接種から43日後に最初のCD4陽性 1型ヘルパーT応答を誘発した。
■ ワクチンの縦断的な反応は非常に重要であり、参加者の安全性と免疫原性を評価するための13ヶ月間のフォローアップ解析が進行中である。
■ 今回の結果は、現在進行中の第 3フェーズ試験において、mRNA-1273 を 用量100μgで使用することを支持するものである。
スポンサーリンク(記事は下に続きます)
ワクチンの開発が急がれている。安全性も含め十分な検討を期待したい。

■ ワクチンですべてが解決するわけではありませんが、安全に集団免疫が達成できるためには、やはりワクチンがカギを握るでしょう。
■ 一方で、安全性が今のところ主だったものがないことは安心材料ではあるものの、今後も十分な検討を要すると個人的には思っています。
■ mRNAワクチンは、『新規の』ワクチンであり、データの蓄積が重要だからです。
■ ワクチンには私も期待しています。なぜ長く効果が持続するのかなど、まだ検討課題もありそうです。
今日のまとめ!
✅ mRNAワクチンが、抗体を4ヶ月間維持することが示された。














