以下、論文紹介と解説です。
Boralevi F, et al. Long-term emollient therapy improves xerosis in children with atopic dermatitis. Journal of the European Academy of Dermatology and Venereology 2014; 28:1456-62.
アトピー性皮膚炎に関連した乾皮症の2~6歳の小児(251人)を、グリセロールとパラフィンを組み合わせたエモリエント(モイスチャライザーにあたる)、もしくはその基剤(エモリエントにあたる)でランダム化し、28日間の治療をおこない乾燥肌の所見を比較した。
背景
■ 皮膚の保湿外用剤による保湿は軽症のアトピー性皮膚炎(Atopic dermatitis; AD)の治療の骨格である、幼児における有効性を評価したランダム化比較試験はほとんどない。
目的
■ ADの幼児における中等症から重症の乾皮症の治療における長期エモリエント治療の有効性と忍容性を評価する。
方法
■ この試験は、第III相多施設二重盲検ランダム化基剤対照試験だった。
■ ADと関係した乾燥肌の2~6歳の小児(251人)を、グリセロールとパラフィンを組み合わせたエモリエント、もしくはその基剤により、1:1でにランダム化し、28日間の治療をおこなった。
研究用エモリエント(グリセリン15%、液状・軟質パラフィン10%、モノステアリン酸グリセリン、ステアリン酸、ポリジメチルシクロシロキサン、シリコーンオイル、マクロゴール600、トロラミン、パラヒドロキシ安息香酸プロピル、精製水)/Dexeryl® (Pierre Fabre Medicament, Boulogne, France)
※筆者注; ここでは”エモリエント”と記載ありますが、グリセリン・軟質パラフィンが含まれていますので、”モイスチャライザー”となり、基剤はエモリエントと言えます。
または
その基剤(モノステアリン酸グリセロール、ステアリン酸、ポリジメチルシクロシロキサン、シリコーンオイル、マクロゴール600、トロラミン、パラヒドロキシ安息香酸プロピル、精製水)
が使用されました。
■ 二重盲検期間終了時に治療に反応しなかった参加者は、試験開始84日目までエモリエントでオープンラベルによる治療を実施した。
■ 治療に反応した参加者は56日目の再評価時まで治療を中止した。
■ 治療中止後に再燃した患者は、エモリエントによるオープンラベル治療を84日目まで実施した。
結果
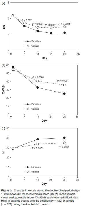
■ 二重盲検期間中、SCORAD、objective-SCORADの乾皮症スコア(xerosis score; XS)、VASは低下(すなわち改善)し、皮膚水分量は基剤よりもエモリエント群で上昇した(すべての測定でP<0.001)。
■ 基剤よりもエモリエント剤に反応した患者が多かった(66.1% vs 45.6%; P<0.001)。
研究エモリエント(グリセリンなど含有)(●)とその基剤(○)の比較。
■ オープンラベル期間中、エモリエント治療を中止すると再発したが、エモリエントで治療を再開すると改善した。
■ エモリエント剤を定期的に使用すると、最初に有効でなかった小児においても改善をもたらした。
■ 有害事象は両群で同様で、治療に関連した重篤な有害事象は報告されなかった。
結論
■ エモリエントによる長期治療は小児のアトピー性皮膚炎の乾皮症の治療に有効であり、忍容性も良好である。
スポンサーリンク(記事は下に続きます)
アトピー性皮膚炎の乾燥所見は、保湿成分を含んでいる方が改善傾向が有意に高くなる。

■ アトピー性皮膚炎に対し、安価な保湿剤を使うこと自体はいけないとは思いません。
■ 実際に、価格での有効性にそれほど差がなかったという報告もあります。
■ しかし、成人での研究でもあるように、(安価であったとしても)保湿成分が含まれたほうがアトピー性皮膚炎の普段の治療においては有効性は高いようです。
■ もちろん、エモリエント(皮脂膜の役目)はまた、皮膚の保護により有効と言えます。
■ やはり適材適所といえましょう。
今日のまとめ!
✅ アトピー性皮膚炎の乾皮症に対しては、保湿成分が含まれていたほうが有効性は高そうだ。















