以下、論文紹介と解説です。
Lessler J, et al. Incubation periods of acute respiratory viral infections: a systematic review. Lancet Infect Dis 2009; 9:291-300.
公衆衛生上重要な9種類の呼吸器ウイルス感染症に関する文献のシステマティックレビューを実施した。

■ 潜伏期間に関する知識は感染症の調査と管理に不可欠であるが、潜伏期間に関する記述はリファレンスが不十分であったり、一貫性がなかったり、限られたデータに基づいていたりすることが多い。
■ そこで、公衆衛生上重要な9種類の呼吸器ウイルス感染症に関する文献のシステマティックレビューを実施し、潜伏期間の記載がある論文436件と、プール分析のためのデータがある論文38件を同定した。
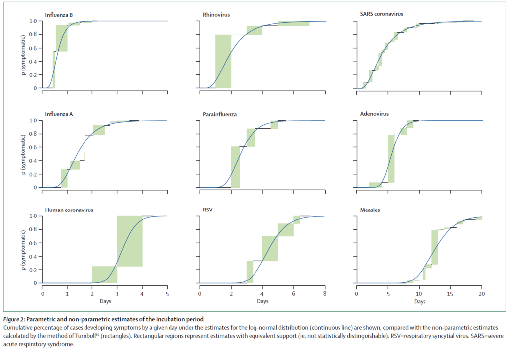
■ 潜伏期間の中央値は、アデノウイルスで5.6日(95%CI 4.8-6.3)、ヒトコロナウイルスで3.2日(95%CI 2.8-3.7)、重症急性呼吸器症候群コロナウイルス(severe acute respiratory syndrome; SARS)で4.0日(95%CI 3.6-4.4)、インフルエンザA型で1.4日(95%CI 1.3-1.5)、インフルエンザB型で0.6日(95%CI 0.5-0.6)、麻疹で12.5日(95%CI 11.8-13.3)、パラインフルエンザでは2.6日(95%CI 2.1-3.1)、RSウイルスで4.4日(95%CI 3.9-4.9)、ライノウイルスでは1.9日(95%CI 1.4-2.4)だった。
論文から引用。感染から発症までの期間の推定。
論文から引用。潜伏期間のパーセンタイル。
https://news.yahoo.co.jp/articles/e33946994b6f948e3f7bdc505de74c761cf2e711
■ 潜伏期間を使用する際には、その完全分布、すなわち、隔離のための正確な最後、感染の可能性の高い時期と感染源の中心地域、パンデミック計画で使用されるモデルのための完全な分布を考慮することが重要である。
■ 我々の推定値は公表されているデータを組み合わせており、これらの応用やその他の応用に必要な詳細を提供している。
スポンサーリンク(記事は下に続きます)
風邪の潜伏期を把握しておくことはとても重要。

■ 小児科医は、さまざまな感染症の潜伏期を把握しつつ、家族や園などでの流行ぐあいと突き合わせながら診断を考えていきます。
■ その中でライノウイルスはいわゆる『風邪』の筆頭で、潜伏期は数日というイメージです。
■ しかし、インフルエンザA型とB型、ちょっと違うんですね。B型の0.6日って…95%信頼区間もばらつきが少ないです。短いなあ。
今日のまとめ!
✅ 小児で多い呼吸器感染症ウイルスの潜伏期間に関するシステマティックレビューをご紹介した。















