
生後6ヶ月からデュピルマブ(商品名デュピクセント)が使用可能になりました(注意点もあります)。
■ 子どものアトピー性皮膚炎は、2歳までに多くが発症します。
■ 外用薬は、2021年にデルゴシチニブ軟膏、2022年にジファミラスト軟膏が保険適用になり、急速に改善してきました。
■ しかし、乳幼児期の全身治療法は限られていました。
■ 一方、デュピルマブは、成人のアトピー性皮膚炎に有効性と安全性をすでに証明され、保険適応になっていました。
■ そのようななか、2023 年 9 月 25 日にデュピルマブ(商品名デュピクセント)が、生後6ヶ月から使用できるようになりました。
■ 2022年にLancet誌に、生後6ヶ月からのデュピルマブの有効性と安全性を示した報告があり、共有したうえで、後半に個人的な考えを述べます。
※2023年10月4日現在、デュピルマブは『全員に使用できるわけではない』ことなど、注意点・制限もあります。詳しくはお近くの専門医にご相談くださいませ。
Paller AS, Simpson EL, Siegfried EC, Cork MJ, Wollenberg A, Arkwright PD, et al. Dupilumab in children aged 6 months to younger than 6 years with uncontrolled atopic dermatitis: a randomised, double-blind, placebo-controlled, phase 3 trial. The Lancet 2022; 400:908-19.
生後6ヵ月から6歳未満で中等症以上のアトピー性皮膚炎児162人を、デュピルマブ群またはプラセボ群(ステロイド外用薬を併用)にランダム化し、有効性と安全性を評価した。
背景
■ 外用療法だけではコントロールできない中等度から重度のアトピー性皮膚炎を持つ6歳未満の小児に対する現行の全身療法は、有効性と安全性が最適でない可能性がある。
■ Dupilumabは、年長児および成人のアトピー性皮膚炎やその他の2型炎症性疾患に対して承認されている。
■そこで、中等度から重度のアトピー性皮膚炎を持つ生後6ヵ月から6歳未満の小児を対象に、デュピルマブと低力価ステロイド外用薬の併用の有効性と安全性を評価することを目的とした。
方法
■ この無作為化二重盲検プラセボ対照並行群間の第3相試験は、ヨーロッパと北米の病院、診療所、学術機関の31施設で実施された。
■ 対象は、生後6ヵ月から6歳未満で、米国皮膚科学会のコンセンサス基準に従って診断された中等度から重度のアトピー性皮膚炎(Investigator's Global Assessment [IGA]スコア3~4)を有し、ステロイド外用薬で効果不十分な患者だった。
■ 患者は、プラセボまたはデュピルマブを4週間ごとに皮下投与する群と、低力価のステロイド外用薬を16週間使用する群に無作為に割り付けられた。
■ 無作為化は年齢、ベースラインの体重、地域によって層別化された。
■ 患者の割り付けは中央の対話式Web応答システムにより行われ、治療の割り付けはマスキングされた。
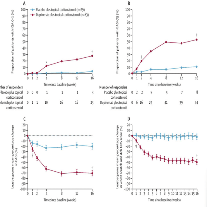
■ 16週目のプライマリエンドポイントは、IGAスコア0-1の患者の割合だった。
■ 16週目のセカンダリエンドポイントは、EASIスコアがベースラインから75%以上改善した患者の割合だった。
■ 一次解析は全解析セットを対象に行い、安全性解析はいずれかの試験薬を投与された全患者を対象に行った。
■ 本試験はClinicalTrials.govに登録されている。
結果
■ 2020年6月30日から2021年2月12日に、197人が適格性を審査され、そのうち162人がデュピルマブまたはプラセボとステロイド外用薬を併用する群に無作為に割り付けられた。
■ 16週目において、デュピルマブ群ではプラセボ群より有意に多くの患者がIGA 0-1およびEASI-75を達成した。
■ 有害事象の全有病率はデュピルマブ群とプラセボ群で同程度であった。
■ 結膜炎の発生率はデュピルマブ群がプラセボ群より高かった。
■ デュピルマブに関連した有害事象で重篤なものや治療中止に至ったものはなかった。
解釈
■ デュピルマブは、6歳未満の小児において、アトピー性皮膚炎の徴候および症状をプラセボに対して有意に改善した。
■ デュピルマブの忍容性は良好で、年長児や成人の結果と同様に、許容できる安全性プロファイルを示した。
資金提供
■ サノフィ社およびリジェネロン社
※ 論文の背景とその解説・管理人の感想は、noteメンバーシップでまとめました。

基本的に医療者向けで、申し訳ありませんが、質問には基本的にお答えしておりません。

所属するいかなる団体の立場も代表するものではありませんし、すべての方に向いているという情報でもありません。予めご了承いただきたく存じます。

しかし、文章やアイデアを盗用・剽窃・不適切な引用したり、許可なくメディア(動画を含む)に寄稿することはご遠慮ください。
クローズドな場での勉強会などに使用していただくことは構いません。









