

Bailey LC, et al. Association of antibiotics in infancy with early childhood obesity. JAMA Pediatr 2014; 168:1063-9.
マイクロバイオーム(体内にすむ細菌叢)と肥満の関係。
■ 以前、プレバイオティクス(乳酸菌のエサとなる物質)が、ダイエットに効果があるかもしれないという報告をご紹介いたしました。
■ 今回は逆に、抗生物質を使用することが肥満の原因になるかもしれないという報告をご紹介いたします。今回も基本はAbstractのみですが、結果を示した図も紹介いたします。
2001~2013年に渡り64580人の小児を後方視的に検討。
重要な点
■ 小児と成人において、肥満は健康上の負担と有意に関連しており、公衆衛生上の予防に対して危急の状態となっている。
■ 肥満に対して、環境要因が永続的なリスクを関連するならば、幼少期が臨界期である可能性がある。
■ 修正可能な因子を確認することで、このリスクを減らせるかもしれない。
目的
■ 小児期(24-59ヵ月)の肥満に対し、幼少期(年齢0-23ヵ月)の抗生物質が影響しているかどうかを評価すること。
デザイン・設定・参加者
■ 我々は、電子カルテを使用し2001~2013年にわたるコホート研究を実行した。
■ コックス比例ハザードモデルが、人口統計・プラクティス・臨床的な共変量を調整されるために用いられた。
■ 本研究は、フィラデルフィア、ペンシルバニアと周囲地域の個人クリニックを含む小児フィラデルフィア病院に属するプライマリケア・プラクティスのネットワークで行われた。
■ 1年間に受診した全ての0~23ヵ月児は、1回以上受診した24~59ヵ月児とともに、登録され、このコホートは、64580人の小児から構成された。
曝露
■ 抗生物質処方による治療エピソードが、生後23ヵ月まで確認された。
主なアウトカム・測定結果
■ 肥満の転帰は、全国健康栄養検査調査2000のBMI基準を使用した測定から決定された。
結果
■ 69%の小児は、生後24ヶ月までに抗生物質を投与されていた(1人につき2.3±1.5回)。
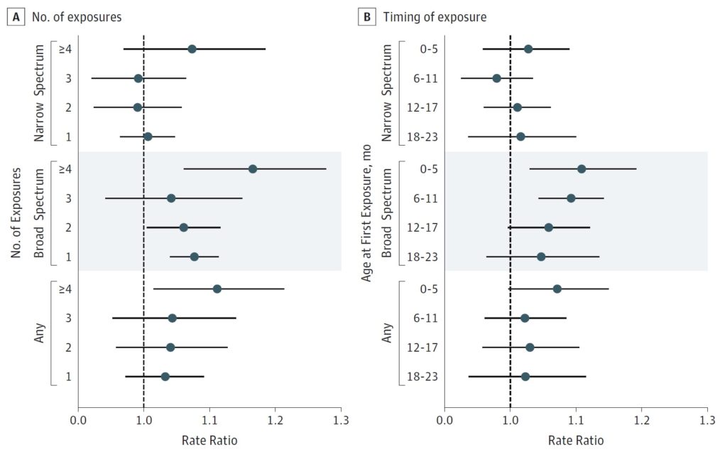
■ 抗生物質に対する累積曝露は、その後の肥満と関連し(4回以上のrate ratio[RR]1.11; 95%CI 1.02-1.21)、この効果は、広域抗生物質でより強かった(RR 1.16; 95%CI 1.06-1.29)。
■ 広域抗生物質に対する早期曝露は肥満(生後0-5ヵ月= RR 1.11; 95%CI 1.03-1.19 と生後6-11ヵ月= RR 1.09; 95%CI 1.04-1.14)と関連した。しかし、狭域スペクトル抗生剤はどの年齢でも頻度も関連しなかった。
■ ステロイド使用、男性、都市部、保険、ヒスパニック系民族、診断された喘息または喘鳴もまた、肥満の予測因子であった。一般的な感染症診断と抗逆流薬物療法は予測しなかった。
論文より引用。広域スペクトラムの抗生剤の使用エピソードが多いほど、月齢が低いほどその後の肥満のリスクが高くなる。
結論と関連
■ 0~23ヵ月児への広域抗生物質に対する反復曝露は、早期の小児肥満と関連する。
■ コモンな小児期感染症が広域抗生物質処方されている最も頻度が高い診断であったため、抗生物質の選択を狭域にすることが潜在的な小児肥満症の修正可能な因子である。
結局、何がわかった?
✅2歳までの抗生物質使用は、その後の肥満のリスクになり、広域スペクトルではさらに強くなった。
広域抗生物質の乳児期の使用は、その後の肥満のリスクになるかもしれない。
■ マイクロバイオームはアレルギー疾患の発症・抑制にも関与することが報告されており、早期の抗生物質使用がアレルギー疾患発症のリスクになることがわかってきています。
妊娠中の抗生剤使用は、児のアトピー性皮膚炎の発症リスクを上げる?
乳児期の抗生剤投与はその後のアトピー性皮膚炎発症リスクになる: システマティックレビュー
■ 今回の結果は、狭域スペクトルの抗生剤の影響はなかったとされており、実地診療でも考慮することが提案されています。
今日のまとめ!
✅乳児期の抗生物質使用は、特に広域スペクトルで肥満のリスクをあげる。狭域スペクトルでは影響が少なく、乳児期の抗生剤使用は適応を考える必要性がある。











